情報 / Info
当サイトは、Typst GmbHの許諾を得て、日本語コミュニティ「Typst Japanese Community」がTypst v0.13.1の公式ドキュメントを翻訳したものです。誤訳や古い情報が含まれている可能性があるため、公式ドキュメントとの併用を推奨します。翻訳の改善やサイトの機能向上について、GitHubでのIssueやPull Requestを歓迎します。コミュニティにご興味のある方はDiscordサーバー「くみはんクラブ」にぜひご参加ください。
This site provides a Japanese translation of the Typst v0.13.1 documentation maintained by the "Typst Japanese Community" with permission from Typst GmbH. We recommend using this alongside the official documentation. We welcome contributions through Issues and Pull Requests on our GitHub repository for both translation improvements and website enhancements. Feel free to join our Discord server "Kumihan Club".
未翻訳

このページはまだ翻訳されていません。原文の内容が表示されています。

vec
要素関数
要素関数
要素関数はsetルールやshowルールでカスタマイズできます。

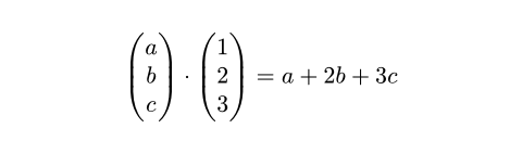
列ベクトル。

ベクトルの要素内のコンテンツはalignパラメーターか&記号を用いて配置できます。

$ vec(a, b, c) dot vec(1, 2, 3)
    = a + 2b + 3c $
Preview

引数
引数
引数は関数への入力値です。関数名の後に括弧で囲んで指定します。

math.vec(,,,)->

delim
設定可能引数
設定可能引数
設定可能引数は、setルールを用いて設定でき、それ以降で使用するデフォルト値を変更できます。

用いる区切り文字。

単一の文字で左区切り文字を指定する場合、右区切り文字は自動的に推論されます。 それ以外の場合は、左区切り文字と右区切り文字を含む配列を指定します。

例を表示
#set math.vec(delim: "[")
$ vec(1, 2) $
Preview

デフォルト値:("(", ")")

align
設定可能引数
設定可能引数
設定可能引数は、setルールを用いて設定でき、それ以降で使用するデフォルト値を変更できます。

各要素の水平方向の配置。

例を表示
#set math.vec(align: right)
$ vec(-1, 1, -1) $
Preview

デフォルト値:center

gap
設定可能引数
設定可能引数
設定可能引数は、setルールを用いて設定でき、それ以降で使用するデフォルト値を変更できます。

要素間の間隔。

例を表示
#set math.vec(gap: 1em)
$ vec(1, 2) $
Preview

デフォルト値:0% + 0.2em

children
必須引数
必須引数
必須引数は、関数を呼び出す際に必ず指定しなければなりません。
位置引数
位置引数
位置引数は順序通りに指定することで、引数名を省略して設定できます。
可変長引数
可変長引数
可変長引数は複数回指定することができます。

ベクトルの要素。

原文(英語)を開く

検索